|
Гипермаркет знаний>>Математика>>Математика 9 класс>>Математика:Линейные и квадратные неравенства
ЛИНЕЙНЫЕ И КВАДРАТНЫЕ НЕРАВЕНСТВА
Прочитав название параграфа, вы, наверное, спросите: «Почему мы топчемся на месте?». В самом деле, линейные и квадратные неравенства с одной переменной вы научились решать в курсе алгебры 8-го класса — это была одна из последних тем курса. Почти ничего нового вы из этого параграфа не узнаете, более того, обнаружите, что некоторые примеры заимствованы из учебника «Алгебра-8». Рассматривайте этот параграф как возможность повторения, которое позволит вам плавно перейти к изучению новой темы (в следующем параграфе).
Напомним, что линейным неравенством с одной переменной х называют неравенство вида ах + b > О (вместо знака > может быть, разумеется, любой другой знак неравенства), где а и b — действительные числа Квадратным неравенством с одной переменной х называют неравенство вида ах2 + Ьх + с>0, где а,b,с — действительные числа (кроме а = 0).
Значение переменной х, которое обращает неравенство f/x > О в верное числовое неравенство, называют решением неравенства (или частным решением). Множество всех частных решений неравенства называют общим решением (или просто решением) неравенства.
Замечание. Как видите, термин «решение» употребляют и в смысле общего, и в смысле частного решения неравенства. Более того, сам процесс отыскания решений неравенства тоже называют решением неравенства. Обычно по смыслу бывает ясно, какое понимание термина «решение» имеется в виду.
Два неравенства называют равносильными, если они имеют одинаковые решения (в частности, если оба неравенства не имеют решений).
Обычно при решении неравенства стараются заменить данное неравенство более простым, но равносильным ему. Такую замену называют равносильным преобразованием неравенства. Эти преобразования указаны в сформулированных ниже правилах 1—3. Правило 1. Любой член неравенства можно перенести из одной части неравенства в другую с противоположным знаком (не меняя при этом знака неравенства). Например, неравенство Зх + 5 < х2 равносильно неравенству -х2 + Зх + 5 < О (член х2 перенесли из правой части неравенства в левую с противоположным знаком). Правило 2. Обе части неравенства можно умножить или разделить на одно и то же положительное число,не меняя при этом знака неравенства. Например, неравенство 8х - 4 > 12х2 равносильно неравенству 2х - 1 > Зх2 (обе части первого неравенства разделили на положительное число 4). Правило 3. Обе части неравенства можно умножить или разделить на одно и то же отрицательное число, изменив при этом знак неравенства на противоположный
Например, неравенство -2х2 - Зх + 1 < 0 равносильно неравенству 2х2 + Зх - 1 > 0 (обе части первого неравенства умножили на отрицательное число -1, изменив при этом знак неравенства на противоположный). Правила 2 и 3 допускают следующие обобщения (соответствующие утверждения представляют собой теоремы, но мы, ради удобства читателя, оформим их в виде правил): Правило 2*. Если обе части неравенства с переменной х умножить или разделить на одно и то же выражение р(х), положительное при всех значениях х, и сохранить знак исходного неравенства, то получится неравенство, равносильное данному. Правило 3*. Если обе части неравенства с переменной х умножить или разделить на одно и то же выражениер(х), отрицательное при всех значениях х, и изменить знак исходного неравенства на противоположный, то получится неравенство, равносильное данному. Например, неравенство (2х + 1)(х2 + 2) > 0 равносильно неравенству 2х + 1 > 0 (обе части исходного неравенства разделили на выражение х2 + 2, положительное при любых значениях х; при этом знак исходного неравенства оставили без изменения).
Неравенство равносильно неравенству Зх - 4 < О (обе части исходного неравенства умножили на выражение -х4 - 1, отрицательное при любых значениях х; при этом знак исходного неравенства изменили на противоположный).
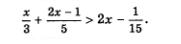
Пример 1. Решить неравенство

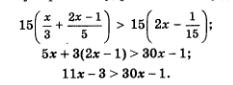
Решение. Умножим обе части неравенства на положительное число 15, оставив знак неравенства без изменения (второе правило). Это позволит нам освободиться от знаменателей, т.е. перейти к более простому неравенству, равносильному данному:
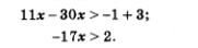
 Воспользовавшись первым правилом решения неравенств, перенесем член ЗОх из правой части неравенства в левую, а член -3 —из левой части в правую (с противоположными знаками). Получим
Пример 2. Решить неравенство Зх + 9 < 2х2.
Решение.
1) Преобразуем неравенство к виду Зх + 9 -- 2х2 < О (выполнили равносильное преобразование неравенства). Найдем корни квадратного трехчлена -2х2 + Зх + 9; для этого решим квадратное уравнение -2х2 + Зх + 9 = 0: 2) Парабола, служащая графиком функции у = -2х2 + Зх + 9, пересекает ось х в точках 3 и -1,5, а ветви параболы направлены вниз, поскольку старший коэффициент квадратного трехчлена -2х2+Зх+9 равен -2, т.е. является отрицательным числом. На рис. 1 дано представление о графике функции.
 3) Пользуясь рис. 1, делаем вывод: у < 0 на тех промежутках оси х, где график расположен ниже оси х, т.е. на открытом луче (-оо, -1,5) или на открытом луче (3, +оо). От в ет: х <-1,5; х > 3. Полезно вспомнить два утверждения, которые были доказаны в курсе алгебры 8-го класса и не раз понадобятся нам в дальнейшем. 1. Если квадратный трехчлен ах2 + bх + сне имеет корней (т.е. его дискриминант Б — отрицательное число) и если при этом а> О, то при всех значениях х выполняется неравенство ах2 + Ьх + с> 0. Иными словами, если D> < 0, а > 0, то неравенство ах2 + Dх + с > О выполняется при всех х; напротив, неравенство ах2 + Dх + + с < 0 в этом случае не имеет решений. 2. Если квадратный трехчлен ах2 + Ьх + с не имеет корней (т.е. его дискриминант D> — отрицательное число) и если при этом а< О, то при всех значениях х выполняется неравенство ах2 + Ьх + с< 0. Иными словами, если 1> < 0, а < 0, то неравенство ах2 + Ьх + с <0 выполняется при всех х; напротив, неравенство ах2 + Ьх + с > О в этом случае не имеет решений. Эти утверждения суть частные случаи следующей теоремы.
Квадратный трехчлен ах2 + Ьх + с с отрицательным дискриминантом при всех значениях х имеет знак старшего коэффициента а. Пример 3. Решить неравенство: а) 2х2 - х + 4 > 0; б) -x2 + 3x - 8 >0. В следующем примере мы напомним вам еще один способ рассуждений, который можно применять при решении неравенств. Пример 4.

Метод рассуждений, который мы применили в примере 4, называют обычно методом интервалов (или методом промежутков). Он активно используется в математике для решения рациональных неравенств. В следующем параграфе мы изучим метод интервалов более детально, а этот параграф, чтобы не ограничиваться в нем только напоминанием известного, завершим примером, в котором речь идет о решении так называемых «неравенств с модулями».
А.Г. Мордкович Алгебра 9 класс
Материалы по математике онлайн, задачи и ответы по классам, планы конспектов уроков по математике скачать
Если у вас есть исправления или предложения к данному уроку, напишите нам.
Если вы хотите увидеть другие корректировки и пожелания к урокам, смотрите здесь - Образовательный форум.
|